After 15 years in the ZKG Cement Lime Gypsum editorial team, I am now setting off for new shores, at least in terms of content. I am not leaving Bauverlag, but rather the editorial offices of ZKG...
In the presence of Milena Stoycheva, Bulgaria’s Minister of Innovation and Growth, and representatives of Heidelberg Materials and the local community, the start of construction for the pilot carbon...
After twelve months of construction and an investment volume of € 6 million, the Alpacem headquarters sets new standards in terms of sustainability standards. The company headquarters not only...
Effective immediately, Christopher Ashworth has been appointed new President of FLSmidth Cement reporting to the Group CEO, Mikko Keto. This appointment follows the departure of the former President...
Cemex has agreed to acquire Kiesel, a mortars and adhesives technological leader in the construction industry based in Germany, as part of its ongoing strategy to strengthen Cemex’s Urbanization...
Cimpor Ghana Ltd. commissions thyssenkrupp Polysius GmbH with the construction of a flash activator for clay activation in Tema/Ghana. The plant will have the world’s largest new built flash activator...
Fernando Gonzalez, CEO of Cemex has been elected as the new President of the Global Cement and Concrete Association, whose members are committed to achieving Net Zero’ concrete by 2050. Mr. Gonzalez...
Titan and Orcan Energy announced an innovation partnership. This partnership brings together Titan’s expertise in cement production and decarbonization, and Orcan Energy’s proven track record in...
A recent study by the Technical University of Rosenheim and the VHT Darmstadt under Jochen Pfau now confirms the gypsum industry’s long-standing view that there is no alternative to gypsum as a...
The World Cement Association has appointed Wei Rushan to be President of the Association, replacing Founding President, Song Zhiping, on his retirement last week. Mr. Wei is President and Executive...
At the BDI Climate Congress 2023, the Chairman of the German Lime Industry Association/BVK and CEO of Lhoist Germany Thomas Perterer spoke about the transformation of the lime industry and the need...
In a world driven by digital advancements, the bulk materials industry is challenged to overcome manual processes and paper-based documentation. This article explores the significant improvements that...
Siemens Xcelerator, the open digital business platform, creates an open ecosystem for collaboration between customers, Siemens, and certified partners, from large technology companies to independent...
Rohrdorfer is participating in the joint project ZEUS (Zero Emissions throUgh Sector Coupling). Within the framework of the project, technologies for the recovery and use of CO2 are to be tested in an...
If the cement industry were a country, it would rank as the third-largest contributor to global carbon emissions. GEA, the international technology group, has developed an extensive carbon capture...
More than 1100 participants attended the Unified International Technical Conference on Refractories (UNITECR) that was held in Frankfurt/Germany from September 26th-29th, 2023.
Last summer saw the signing of an agreement, under which the takeover of FLSmidth Deutschland GmbH’s Cement Service Division (formerly Teutrine) by KF-Montage Service GmbH was finalised. KF-Montage...
For more than 50 years, InterCem has been a household name in cement plant engineering. The roots of InterCem can be found in the cement plant trade. In the 1970s, old plants were purchased,...
In the cement production process, advanced process control systems (APC) are widely used in the automatic control and operation of control loops. However, the optimal set values of controlled...
Due to raw fuel, waste disposal, or using of alternative fuel and other reasons, chlorine and other harmful elements in the cement kiln circulate and accumulate in the burning system, resulting in...
Attempts to further increase the use of solid recovered fuels (SRF) at the main firing of a kiln plant may be limited quickly when the phenomenon of increased brown clinker color occurs. In this...
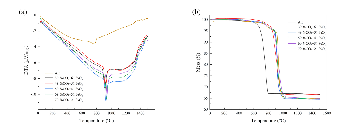
Oxygen-enriched combustion technology has gained considerable attention in the field of combustion due to its ability to reduce and capture CO2. It has potential applications as a carbon capture...
Dry bulk ports and terminals are in a state of constant change. The materials they handle change and so, too, do the quantities. Operators are constantly having to adapt to new requirements. They want...
The global leader in belt conveyor accessories, Martin Engineering, designs products around safety to promote an efficient and clean working environment and part of that is manufacturing properly...
(22) 14.03.2023 (43) 21.09.2023(57) The invention relates to a method for producing a reusable gypsum material (10) from 20 a construction waste material comprising gypsum waste (20) comprising the...
(22) 11.08.2021(43) 28.09.2023(57) An electrochemical method for producing calcium hydroxide includes dissolving a calcium precursor in a first solution in contact with a first electrode to produce...
(22) 03.01.2023(43) 28.07.2023(57) The invention relates to the technical field of suspension calcination intelligent control, and particularly discloses a powder lime suspension calcination...
(22) 20.03.2023(43) 28.09.2023(57) Provided is a cement clinker that can be produced at a lower firing temperature with the use of a larger amount of waste matters, compared to conventional cement...
(22) 28.05.2021(43) 27.07.2023(57) A CO, separation/recover method in cement production exhaust gas has a step of harmful component removal that removes an acidic component and a harmful component...
(22) 08.06.2023(43) 28.07.2023(57) The invention discloses a system and a method for capturing and recovering moisture in tail flue gas of a cement kiln made of carbide slag. A multi-tube cooler, a...
(22) 21.04.2023(43) 28.07.2023(57) The invention discloses a cement clinker production line preheater system which comprises a plurality of stages of cyclones, connecting pipelines of the cyclones and...
(22) 14.04.2023(43) 28.07.2023(57) The utility model discloses a cement kiln flue gas self-denitration device, relates to the technical field of cement production, and solves the technical problem...
(22) 14.04.2023 (43) 28.07.2023(57) The utility model discloses a vertical mill feeding structure for cement production, which relates to the technical field of vertical mill feeding and comprises a...
(22) 14.04.2023(43) 28.07.2023(57) The utility model discloses a cyclone cylinder for a cement clinker firing system, which comprises a cyclone cylinder body, a cone fixed at the lower end of the...
(22) 08.02.2023(43) 28.07.2023(57) The utility model discloses a biomass fuel drying and cement kiln coupling system and method. The system comprises a grate cooler waste heat recovery system, a kiln...
(22) 30.03.2023(43) 28.07.2023(57) The utility model discloses a cement clinker particle grading cooling machine, belongs to the technical field of cement clinker cooling, and aims to solve the...
(22) 25.08.2021(43) 05.10.2023(57) A limestone calcined clay cement construction composition comprises a) a cementitious binder comprising one or more calcium silicate mineral phases and one or more...
(22) 31.01.2022(43) 03.08.2023(57) To efficiently reduce the NOx concentration in a cement kiln exhaust gas by using a reducing LCgas. [Solution] A cement calcination device 1 comprises: an extraction...
(22) 02.02.2023(43) 10.08.2023(57) The invention relates to a method for operating a plant (100) for producing cement clinker, wherein the plant comprises as plant units (AG), in the direction of gas...
(22) 03.03.2023(43) 07.09.2023(57) A low-carbon production method and production system for cement clinker. The production method comprises calcining a metal oxide, which is obtained by converting...
(22) 09.03.2023(43) 05.10.2023(57) A method for producing cement clinker which includes a burning step in which a powdery feed material for cement clinker introduced into a kiln is burned with a kiln...
In Lünen, North Rhine-Westphalia/Germany’s first publicly subsidized apartment building is being built using 3D printing. The three-story building owned by Wohnungsbaugesellschaft Lünen will have a...
At the annual conference of the World Cement Association (WCA) in Dubai Jim O’Brian from CSR Consulting, who keeps track of ongoing decarbonization activities of the cement industry, had noticed that...