The influence of thermally activated clay additives on the properties of composite gypsum binder
The studies conducted in this work show a high efficiency of the application of thermally activated clay as an active mineral additive for the production of composite gypsum binders. When introduced into the composition of the composite gypsum binder as active mineral additives, thermally activated clays in the required quantities with specific surfaces 200 and 500 m²/kg increased the compressive strength of the binder by 5 and 13 % respectively; the softening coefficient was increased up to 0.9 and 0.94 (water-resistant binders) compared with control samples.
Finding affordable and locally accessible effective pozzolanic additives is a current problem. Solving this problem would enable an increase in the economic and environmental attractiveness of the production and use of cement and gypsum binders. In relevant research, the presence of thermally treated clays in the composition of mineral binders, mortars and concretes on their basis has been determined in ancient buildings and structures. In recent years, researchers in several countries have conducted work aimed at substantiating the possibility of using affordable and locally accessible...
Finding affordable and locally accessible effective pozzolanic additives is a current problem. Solving this problem would enable an increase in the economic and environmental attractiveness of the production and use of cement and gypsum binders. In relevant research, the presence of thermally treated clays in the composition of mineral binders, mortars and concretes on their basis has been determined in ancient buildings and structures. In recent years, researchers in several countries have conducted work aimed at substantiating the possibility of using affordable and locally accessible thermally activated clays as active mineral additives in the production of mineral binders.
1 Introduction
One of the current issues in the production of water-resistant composite gypsum binders is the search for relatively cheap and easily accessible pozzolanic additives [1-3]. Additives such as blast furnace slag, fly ash, metakaolin, and others are not available in all regions and reserves of these are limited in any case. Within the framework of solving this current problem, it is expedient to conduct research with the aim of evidencing the viability of using relatively cheap and easily accessible thermally treated clays as an efficient pozzolanic additive.
In Central Asia and the Caucasus in the Middle Ages, composite binders based on clay and gypsum (gazha, gunch – natural mixture of gypsum and 40–70 % clay), were widely used in plastering mortars and masonry [4]. In Central Asia, in particular, several buildings and structures made of clay and gypsum mixtures are still preserved to this day. The arch bridge over the Murghab river (Turkmenistan), built in the 14th century and operated until its dismantling in the 19th century, and a 16th century public bathhouse operated in Bukhara (Uzbekistan) were made of masonry using gunch-based binders, indicating their high water resistance [5].
Research conducted in the 1930s by the All-Union Scientific Cement Research Institute [6] and recent research carried out in several countries over the last decade [7, 8] has shown that thermally treated clays can be used as an efficient pozzolanic additive for Portland cement and the production of other composite binders.
In the present work, research was conducted to determine the efficiency of thermally activated clay additives incorporated in composite gypsum binders.
2 Methods and materials
In this research, the following materials were used:
Construction gypsum G5BII complying with GOST (State standard) 125 produced by “Volma-Volgograd”
Portland cement 500-D0-N complying with GOST (State standard) 10178 produced by JSC “Mordovcement”
Clay from “Saray-Chekurchinskoye” gypsum deposit with the following chemical composition (in wt%): SiO2: 52.84, TiO2: 0.86, Al2O3: 13.42, Fe2O3: 6.18, MnO: 0.10, CaO: 1.33, MgO: 1.66, Na2O: 1.20, K2O: 1.82, P2O5: 0.09, SO3/S: ≤0.05, loss on ignition: 4.62
Mineralogical composition of clay [wt%]: quartz: 28, mica: 10, orthoclase: 7, plagioclase: 8, mixed-layered clay mineral: 40, chloride: 4
Particle size distribution of clay [wt%]: clay fractions: 49.5, dust: 37.1, sand: 13.4
The clay underwent thermal treatment by means of calcination at the temperature of 400 °C for 4 h in accordance with the results of previous studies on the activity of thermally activated clay additives incorporated in Portland cement [8]. After the calcination process had been completed, the clay was ground in a planetary mill to achieve the specific surface of 200, 300, 500 and 800 m²/kg.
Composite gypsum binder was prepared by mixing the components. During the mixing process, 0.8 % (by the total mass of a composite gypsum binder) of Melflux 2651 F powdered superplasti-cizer produced by BASF Construction Polymers was incorporated [9].
The composite gypsum binder was tested in accordance with GOST (State standard) 23789. The samples were stored for 28 days in a normal hardening chamber, and then dried at the temperature of 55 °C to achieve constant weight. The softening coefficient was determined in accordance with ТU (Specifications) 21-0284757.
3 Results and discussions
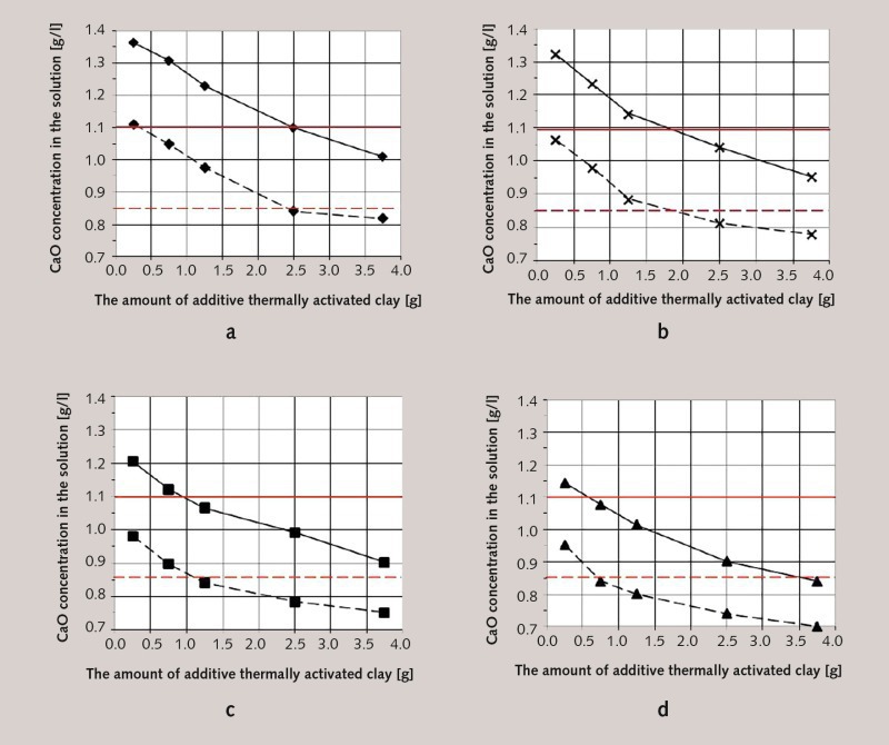
The first stage of this research was conducted according to a technique developed in NRU MGSU [10]: the amount of thermally activated clay additive needed for GCPB (Gypsum Cement Pozzolanic Binder) was determined based on the calcium oxide concentration.
The test was performed on an aqueous suspension that contained a mixture of hemihydrate gypsum, Portland cement and active mineral additive. The required amount of active mineral additive must ensure that the concentration of calcium oxide in the solution at the age of five days is not more than 1.1 g/l, and at the age of seven days not more than 8.5 g/l. These concentrations of calcium oxide guarantee that no hydrous calcium aluminum sulphate mineral will be formed in long-term hardening as this may cause deformation and destruction in the body of formed artificial stone.
The results of the experiment are presented in Figure 1. It was found that with an increase in the fineness of the thermally activated clays from a specific surface of 200 to 800 m2/kg, the required amount of mineral additive relative to the amount of Portland cement is reduced from 100 to 30 %.
A comparison of the obtained results with the results of research performed in [11] is presented in Table 1 and indicates that hydraulic activity of thermally treated clays with a specific surface of 200 to 300 m2/kg corresponds to the activity of some widely used additives, such as tripoli, diatomite, biosilica, and while with an increase in the fineness of the specific surface to 300 m2/kg, its activity approaches the level of a highly efficient additive such as metakaolin.
In the next stage of the work the effect of the amount of thermally activated clay admixture, milled to a surface area of 200 and 500 m²/kg on the main physical and mechanical properties of the composite gypsum binder was studied. The amount of Portland cement content in the composite binder was fixed at the level of 20.
According to previous research, the increase of thermally treated clay content with a specific surface of 200 and 500 m²/kg to 25 % by the total mass leads to a steady increase in the water requirement of a binder from 24 to 29–30 % correspondingly. However, incorporation of 15 % additives slightly increases the average density of artificial stone and reduces its water requirement. This can be explained by the interaction between the active mineral additive and the products that are formed during the hydration process in Portland cement clinker and gypsum.
Incorporation of the required amount of thermally treated clay (with a specific surface of 200 and 500 m²/kg) in composite gypsum binders (at the rate of 10 and 20 % by the total mass correspondingly) increases compressive strength by 5 and 13 % compared to a reference specimen without mineral additive. The same behaviour is observed when the softening coefficient was increased from 0.75 to 0.9 and 0.94 and reached values that correspond to the water-resistant group of binders [10].
4 Conclusion
Thus, the results of the research show a high efficiency of clays, treated according to the accepted method, as an active mineral additive for the composite gypsum binders.
It was determined that an increase in the specific surface of thermally activated clay from 200 to 800 m²/kg leads to a reduction of its required content in a composite Gypsum Cement Puzzolanic Binder (GCPB) as an active mineral additive from 100 to 30 % (from the total mass of Portland cement). Based on their hydraulic activity, thermally activated clays with a specific surface of 200–300 m²/kg can be compared with additives such as biosilica, diatomite and tripoli; the activity level of clays with a specific surface of 800 m²/kg activity level corresponds to that of metakaolin.
Incorporation of the required amount of thermally activated clay (20 % by the total weight of a binder for the specific surface of 200 m²/kg and 10 % by the total weight of a binder for the specific surface of 500 m²/kg) in composite gypsum binders as active mineral additive increases compressive strength by 5 and 13 % respectively compared to a reference specimen; the softening coefficient is also increased from 0.9 to 0.94 (water-resistant binders).
Überschrift Bezahlschranke (EN)
tab ZKG KOMBI EN
This is a trial offer for programming testing only. It does not entitle you to a valid subscription and is intended purely for testing purposes. Please do not follow this process.
This is a trial offer for programming testing only. It does not entitle you to a valid subscription and is intended purely for testing purposes. Please do not follow this process.
tab ZKG KOMBI Study test
This is a trial offer for programming testing only. It does not entitle you to a valid subscription and is intended purely for testing purposes. Please do not follow this process.
This is a trial offer for programming testing only. It does not entitle you to a valid subscription and is intended purely for testing purposes. Please do not follow this process.
