Im Kreislauf arbeitende GutbettWalzenmühle in einer Zementmahlanlage
Teil 2: Die Wirkung von Betriebsparametern
Zusammenfassung: Im vorliegenden Beitrag wird die Wirkung von Betriebsparametern auf die Leistung einer im Kreis-lauf arbeitenden Gutbett-Walzenmühle beschrieben. Für diese Studie wurden sechs Messungen in einem Mahlkreislauf einer Zementmahlanlage in der Türkei durchgeführt. Es wurden die Beziehungen zwischen den Betriebsparametern, wie Spaltweite, Druck und Kapazität, und die Wirkung dieser Parameter auf die Leistung untersucht. Es wird ein neuer Betriebsparameter, PX, eingeführt, der für die Arbeit auf dem Mahlbett steht. Die Wirkung dieses Parameters auf die Leistung wird beschrieben.
Die Ergebnisse zeigen, dass lineare Beziehungen zwischen dem spezifischen Energieverbrauch (ECSx auf der Basis Aufgabegut der Gutbett-Walzenmühle in t) und den Parametern, Spaltweite, Druck und PX hergestellt werden können. Die beste Korrelation erhält man bei der Relation PX- ECSx.
1 Einleitung
Die Wirkungen von Betriebsparametern wurden von verschiedenen Forschern meistens anhand von Daten aus dem Labor oder aus Pilotanlagen untersucht ([1], [2] und [3]). Es wurden auch Modelle zur Beschreibung des Prozesses entwickelt.
Trotz Fortschritten in Technologie und Anwendung wurden nur wenige Daten aus Betriebsanlagen veröffentlicht. In der Zementindustrie wurde nachgewiesen, dass man effektiver arbeitet, wenn ein größerer Teil der Zerkleinerung durch eine Gutbett-Walzenmühle erfolgt [4]. Bei Anlagen, die im Kreislauf fährt, wird die Leistung von Windsichtern auch durch...
1 Einleitung
Die Wirkungen von Betriebsparametern wurden von verschiedenen Forschern meistens anhand von Daten aus dem Labor oder aus Pilotanlagen untersucht ([1], [2] und [3]). Es wurden auch Modelle zur Beschreibung des Prozesses entwickelt.
Trotz Fortschritten in Technologie und Anwendung wurden nur wenige Daten aus Betriebsanlagen veröffentlicht. In der Zementindustrie wurde nachgewiesen, dass man effektiver arbeitet, wenn ein größerer Teil der Zerkleinerung durch eine Gutbett-Walzenmühle erfolgt [4]. Bei Anlagen, die im Kreislauf fährt, wird die Leistung von Windsichtern auch durch Betriebsgrößen beeinflusst [5].
In der vorliegenden Studie wurde die Leistung einer im Kreislauf arbeitenden Gutbett-Walzenmühle in einer Zementmahlanlage bewertet. Im ersten Teil [ZKG 11/2010; 6] wurde die Gesamtleistung bezüglich des spezifischen Energieverbrauchs (ECS) und der Zerkleinerung bewertet. In diesem Teil wird das Verhältnis zwischen Betriebsparametern und der Leistung diskutiert.
2 In der Studie verwendete experimentelle Daten
Die experimentellen Daten wurden aus einer im Kreislauf arbeitenden Zementmahlanlage in der Türkei gewonnen (Bild 1). Einzelheiten zur Probenahme und zum Massenausgleich sind im ersten Teil der Studie enthalten [6].
Die Größenverteilungen des frischen Aufgabeguts, des Grobguts aus dem Sichter und das Aufgabegut zur Gutbett-Walzenmühlen sind in Bild 2 dargestellt. Aus dem Diagramm ist zu erkennen, dass es eine ziemlich große Abweichung bei den Größenverteilungen der Ströme des Aufgabeguts für die Gutbett-Walzenmühle gibt.
Für alle Messungen sind die Größenverteilungen des Aufgabeguts für die Gutbett-Walzenmühle und des Aufgabeguts für den Sichter (Austrag aus der Gutbett-Walzenmühle) in Bild 3 dargestellt. Bei den Größenverteilungen ist eine große Fluktuation deutlich im Diagramm zu erkennen. Da sich Aufgabegröße und -mengen änderten, wurden die Bewertungen in Abhängigkeit vom Zerkleinerungsgrad und dem spezifischen Energieverbrauch vorgenommen. Beide Werte wurden für das Aufgabegut und das ausgetragene Material der Gutbett-Walzenmühle berechnet.
Der Zerkleinerungsgrad (R) und der spezifische Energieverbrauch auf der Basis der Aufgabemenge der Gutbett-Walzenmühle (ECSx, kWh/t) wurden mit den Gleichungen (1) bzw. (2) berechnet:
Rx = FFx (1)
PPx
FFx und PPx sind die Durchgangsgröße des Aufgabeguts bzw. des ausgetragenen Guts (Aufgabegut für den Sichter) der Gutbett-Walzenmühle:
ECSx = Leistungsaufnahme der Gutbettwalzenmühle(2)
Aufgabemenge der Gutbett-Walzenmühle
Die berechneten Leistungswerte sind in Tabelle 1 enthalten.
Das Verhältnis ECSx zu R wird in Bild 4 gezeigt. Aus Bild 4 ist zu erkennen, dass sowohl R50 als auch R20 größer werden, wenn der spezifische Energieverbrauch zunimmt. Die Zunahme der Zerkleinerung mit dem ECSx war für R20 größer. Das Verhältnis zwischen der Aufgabemenge der Gutbett-Walzenmühle und dem Zerkleinerungsgrad wird in Bild 5 gezeigt. Der ECSx steht im umgekehrten Verhältnis zur Aufgabemenge der Gutbett-Walzenmühle, da das in Bild 4 gezeigte Verhältnis sich in Bild 5 umkehrt. Wenn die Menge zunimmt, nimmt der Zerkleinerungsgrad ab.
3 Ergebnisse
Der Arbeitsspalt der Walzen und der Betriebsdruck sind die Hauptgrößen für die Steuerung der Zerkleinerung. Im Betrieb wird der Druck durch den Anlagenfahrer eingestellt. Eine der Walzen bewegt sich vorwärts und rückwärts zur anderen Walze, um den Druck auf diesem Wert zu halten. Das Verhältnis zwischen Arbeitsspalt und Druck wird in Bild 6 dargestellt. Wenn der Spalt zwischen den Walzen größer wird, nimmt der Betriebsdruck ab. Es sollte erwähnt werden, dass die Werte für den Spalt und den Druck Durchschnittswerte sind, die während der Probenahme gemessen wurden. Beide Werte sind während des Betriebs Änderungen unterworfen.
Die Wirkung des Arbeitsspalts auf die Durchgangsmenge der Gutbett-Walzenmühle wird in Bild 7 gezeigt. Im Bereich zwischen 24 und 37,6 mm gab es ein lineares Verhältnis. Eine einfache Regressionsgleichung, die vom Ursprung ausgeht, stimmte gut mit den Daten überein.
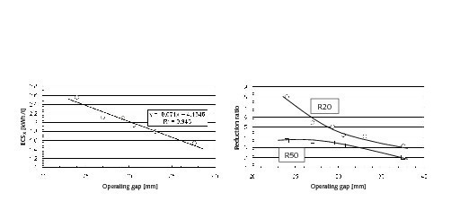
Die Wirkung des Arbeitsspalts und des Drucks auf den ECSx wird in Bild 8 bzw. Bild 9 dargestellt. Wenn der Spalt zwischen den Walzen größer wird, nehmen die Zerkleinerung und der spezifische Energieverbrauch (ECSx) ab (Bild 8). Bild 9 zeigt, dass bei zunehmendem Druck auch die Werte des spezifischen Energieverbrauchs und von R20 zunehmen. Über einem Druck von 100 Bar blieb R50 jedoch konstant.
4 Diskussion
Die Kapazität einer Gutbett-Walzenmühle kann nach Gleichung (3) berechnet werden [2]:
M = ds r s L ns (3)
M : Theoretische Kapazität einer Gutbett-Walzenmühle
ds : Volumetrischer Feststoffgehalt des Kuchens am Austrag der Gutbett-Walzenmühle
r : Feststoffdichte
s : Spalt zwischen den Walzen
L : Länge der Walze
ns : Volumetrische Durchflussmenge des Austrags der Gutbett-Walzenmühle
Eine weitere Gleichung ist eine modifizierte Form der Gleichung (3):
M = 3600 u L s rs(4)
u : Geschwindigkeit der Walzen [m/s]
rs : Schüttdichte des Kuchens [t/m³]
In der vorliegenden Studie wurde ein lineares Verhältnis zwischen dem Arbeitsspalt und dem Materialdurchgang durch die Gutbett-Walzenmühle beobachtet (Bild 7). Die Kapazität der Gutbett-Walzenmühle wird nach Gleichung (4) berechnet. Der Materialdurchgang durch die Gutbett-Walzenmühle (frisches Aufgabegut + Rücklaufgut vom Sichter) wird in Bild 10 gezeigt. Auf Grund physikalischer Schwierigkeiten konnten nicht gebrochene Schülpen vom Austrag der Gutbett-Walzenmühle nicht entnommen werden. Daher waren die Messungen der Dichte der Schülpen nicht genau. Aus diesem Grund wurden die Berechnungen der theoretischen Kapazität in Bild 10 mit zwei unterschiedlichen Werten für die Dichte der Schülpen (rs) aus der Literatur durchgeführt. Der maximale Wert der gemessenen Schülpendichte aus einer Klinkermahlanlage der Industrie betrug 2,4 t/m³ [8]. Außerdem wird berichtet, dass der volumenmäßige Feststoffanteil am verdichteten Kuchen zwischen 0,70 und 0,85 liegt [2]. Die beste Korrelation zwischen gemessenen und berechneten Kapazitäten der Gutbett-
Walzenmühle erhielt man bei einer Schülpendichte von 2,35 t/m³, was einer echten Materialdichte von 76 % entspricht. Andererseits war die beobachtete Durchflussmenge 5 bis 8 % höher als die theoretische Kapazität, für die rs mit 2,17 t/m³ angenommen wurde. Dieser Unterschied ist auf einen Bypassmechanismus in der Gutbett-Walzenmühle zurückzuführen. Es ist bekannt, dass der Druck über die Länge der Walze nicht gleichmäßig ist. Der Grund dafür ist der Randeffekt innerhalb der Gutbett-Walzenmühle [9, 10]. Die gleichen Zonen geringeren Drucks an beiden Rändern der Walzen können auch zu einer Verschlechterung im komprimierten Mahlbett führen und können der Grund für einen Materialbypass sein. Wie in Bild 11 schematisch dargestellt, beträgt der Spalt zwischen den Rollen durchschnittlich 30,3 mm, so dass das Feingut einfach zum Austrag der Gutbett-Walzenmühle durchlaufen kann.
In der Anlage arbeitete die Gutbett-Walzenmühle mit einem eingestellten Druckwert. Der Spalt zwischen den Walzen änderte sich, um den Druck auf dem eingestellten Wert zu halten. In beiden Walzen gibt es Sensoren für den Druck und den Spalt. Die Messungen schwankten in dem Bereich der einzelnen Werte für Druck and Spalt entsprechend den von jedem Sensor ausgesandten Signalen. Das Verhältnis von Druck zu Spalt ist für alle Messungen in Bild 12 angegeben. Alle in diesem Artikel enthaltenen Zahlen basieren auf Durchschnittswerten für den gesamten Zeitraum der Probenahme.
Während des Betriebs der Gutbett-Walzenmühle wird das Bett zwischen einem Spalt, in dem die Kompression beginnt, und dem Arbeitsspalt zusammengepresst. Die ausgeführte Arbeit sollte eine Funktion der Verschiebung des Mahlbetts, X, und der durch den hydraulischen Druck ausgeübten Kraft sein. X kann wie folgt definiert werden:
X = (die Größe des größten Teilchens im Aufgabegut – Arbeitsspalt)
Nach den verfügbaren Daten beträgt die Größe des größten Teilchens im Aufgabegut √53 × 38 > 45 mm (Bild 13).
Nach den verfügbaren Daten schwankten die Werte für X zwischen 7,4 mm und 21 mm. PX (= PxX) wird als ein Parameter definiert, der eine Funktion der im Mahlbett geleisteten Arbeit ist. Es kann erwartet werden, dass die auf dem Bett geleistete Arbeit mit der Zerkleinerung in Beziehung steht. Das Verhältnis zwischen PX, dem Zerkleinerungsgrad und dem spezifischen Energieverbrauch (ECSx) ist in Bild 14 dargestellt. Wenn PX über den Wert 2500 Bar pro mm steigt, bleiben die Werte von R50 nahezu konstant. Im Gegensatz dazu steigen die Werte von R20 ebenfalls an. Die gleichen Schlussfolgerungen können gezogen werden, wenn PG (Druck/Spalt) in der X-Achse verwendet wird. Das Verhältnis Druck zu Spalt = 4,3 entspricht PX = 2500 Bar pro mm. PX oder PG können als Parameter für die Steuerung des Betriebs verwendet werden.
In einer Studie wurden Dolomitteilchen mit einer Maschenzahl von 8 x 10 in einer Gutbett-Walzenmühle im Labormaßstab mit gedrosselter Aufgabe zerkleinert. Es wurde berichtet, dass die Menge von Feingut mit der Maschenzahl 200 eine Funktion der spezifischen Energie ist, und dass bei einer Mahlenergie von mehr als 3 kWh/t die Feingutmenge mit der Maschenzahl 200 konstant blieb [11]. In der vorliegenden Studie wurden ähnliche Ergebnisse auch für R50 bei Gutbett-Walzenmühlen im industriellen Maßstab beobachtet.
Schlussfolgerung
Der Arbeitsspalt der Walzen und der Betriebsdruck waren die Hauptgrößen für die Steuerung der Zerkleinerung. Der Arbeitsspalt ist auch der wichtigste Betriebsparameter für die Menge, die durch die Gutbett-Walzenmühle läuft. In dieser Studie waren die theoretischen Kapazitäten für den Wert rs < 2,35 t/m³ kleiner als die beobachteten Kapazitäten. Das deutet darauf hin, dass ein Bypassmechanismus von der Aufgabe bis zum Austrag der Gutbett-Walzenmühle für eine Modellstruktur der Gutbett-Walzenmühle berücksichtigt werden sollte. Die Ergebnisse weisen aus, dass lineare Verhältnisse zwischen dem spezifischen Energieverbrauch (ECSx) und den Parametern Spalt, Druck und PX hergestellt werden können. Die beste Korrelation erhält man jedoch bei dem Verhältnis zwischen PX und ECSx.
Bei höheren Werten für PX (> 2700 Bar pro mm) und geringeren Werten für den Spalt (< 29 mm) bleibt R50 nahezu konstant, während R20 und ECSx ansteigen. Das deutet darauf hin, dass nach einem bestimmten Wert von PX oder des Spalts die Zerkleinerung von Grobgut nicht mehr möglich ist. Daher können diese Werte für die Optimierung einer Gutbett-Walzenmühle verwendet werden.
Danksagung
Die Autoren bedanken sich bei der Forschungsabteilung der Hacettepe Universität sowie dem Türkischen Wissenschaftlich-Technischen Forschungsrat (TUBITAK MISAG 160 und MISAG 190) für ihre finanzielle Unterstützung. Der Dank geht auch an Aysun Gunlu, Ilkay Celik, Seyfi Erdem, Can Ozer und Omurden für ihre Hilfe.
tab ZKG KOMBI Test
Es handelt sich hierbei um ein Testangebot. Es berechtigt zu keinem gültigen Abonnement und steht hier rein für Testläufe. Bitte diesem Prozess nicht folgen.
Es handelt sich hierbei um ein Testangebot. Es berechtigt zu keinem gültigen Abonnement und steht hier rein für Testläufe. Bitte diesem Prozess nicht folgen.
tab ZKG KOMBI Study Test
Es handelt sich hierbei um ein Testangebot. Es berechtigt zu keinem gültigen Abonnement und steht hier rein für Testläufe. Bitte diesem Prozess nicht folgen.
Es handelt sich hierbei um ein Testangebot. Es berechtigt zu keinem gültigen Abonnement und steht hier rein für Testläufe. Bitte diesem Prozess nicht folgen.
