Water-soluble or water-swellable polymers as water loss reducers in cement slurries
(22) 13.05.2017
(43) 27.08.2020
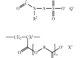
(57) This invention relates to water-soluble or water-swellable polymers, containing a) 25-35 mol. % of one or more recurrent structural units of formula (1), where R1 and R2 represent hydrogen, methyl or ethyl, A represents a linear or branched C1-C12-alkylene, and Q+ stands for NH4+, Li+, Na+, K+, ½ Ca++, ½ Mg++, ½ Zn++, 1/3 Al+++, or organic ammonium ions of the formula [HNR5R6R7]+, b) 3 to 8 mol. % of one or more recurrent structural units of formula (2), where R1 represents hydrogen, methyl, or ethyl, X+ stands for H+, NH4+, Li+, Na+, K+, ½ Ca++, ½ Mg++, ½ Zn...
(22) 13.05.2017
(43) 27.08.2020
(57) This invention relates to water-soluble or water-swellable polymers, containing a) 25-35 mol. % of one or more recurrent structural units of formula (1), where R1 and R2 represent hydrogen, methyl or ethyl, A represents a linear or branched C1-C12-alkylene, and Q+ stands for NH4+, Li+, Na+, K+, ½ Ca++, ½ Mg++, ½ Zn++, 1/3 Al+++, or organic ammonium ions of the formula [HNR5R6R7]+, b) 3 to 8 mol. % of one or more recurrent structural units of formula (2), where R1 represents hydrogen, methyl, or ethyl, X+ stands for H+, NH4+, Li+, Na+, K+, ½ Ca++, ½ Mg++, ½ Zn++, 1/3 Al+++, or organic ammonium ions of the formula [HNR5R6R7]+, B is a linear or branched alkylene group with 1 to 6 carbon atoms, and n is a whole number between 0 and 5, and c) 57 to 72 mol. % of a (meth)acrylamide.
(71) Clariant International Ltd., Muttenz (CH)
(73) Clariant International Ltd., Muttenz (CH)
